EN
Поиск по сайту
Новости AKTAKOM(574)
Новости Anritsu(121)
Новости Fluke(134)
Новости Keithley(78)
Новости Keysight Technologies(666)
Новости Metrel(24)
Новости National Instruments(265)
Новости Pendulum(20)
Новости Rigol(96)
Новости Rohde & Schwarz(558)
Новости Tektronix(225)
Новости Texas Instruments(23)
Новости Yokogawa(132)
Новости Росстандарта(154)
АКТАКОМ
Anritsu
FLUKE
Keithley Instruments
Keysight Technologies
METREL
NI
RIGOL
Rohde & Schwarz
Spectracom
Tektronix
Texas Instruments
Yokogawa
Росстандарт
Авторизация
Логин:
Пароль:
Забыли свой пароль?
Зарегистрироваться
Информация
АКТАКОМ - Измерительные приборы, виртуальные приборы, паяльное оборудование, промышленная мебель

Измерение резистивности и проводимости

Об Энциклопедии измерений
Поиск:  

Измерение резистивности (сопротивления) обычно обеспечивается различными способами, например мостовыми или просто путем измерения напряжения, падающего на резисторе при пропускании через него высокостабильного тока I0. При этом R=U/I0. Этот метод чаще всего применяется в современных цифровых измерительных приборах, поскольку, в отличие от мостовых методов, не требует настройки измерительной цепи и дает линейную зависимость показаний от номинала измеряемого резистора.

Линейный резистор является абстракцией хотя бы в силу того, что любой резистивный элемент нагревается проходящим через него током, а это неизбежно ведет к изменению его сопротивления (резистивности). Однако выпускаемые в промышленных масштабах обычные резисторы и резисторы интегральных микросхем в рабочей области напряжений и токов нагреваются незначительно и могут считаться линейными. Признаком их линейности является линейность ВАХ резисторов – зависимости тока от напряжения – рис. 1. При этом наклон ВАХ RдифUI=R=const неизменен в любой ее точке, а дифференциальная резистивность (сопротивление) Rдиф равна статической резистивности R. Сказанное справедливо в области умеренных токов – от наноампер до единиц-десятков мА, а иногда и выше.


Рис. 1. ВАХ линейного резистора в области умеренных токов

Однако, при измерениях в полупроводниковой и интегральной электронике, нередко используются сверхмалые напряжения и токи, в которых нередко реально работают резистивные элементы. В этом случае даже у казалось бы линейного резистора ВАХ может иметь отнюдь не тривиальный и не линейный вид – рис. 2. Такие отклонения от линейной ВАХ (рис. 1) обусловлены как дискретностью тока как потока частиц (например, электронов) с дискретным зарядом, так и наличием шумовой составляющей тока.


Рис. 2. ВАХ резистора в области малых напряжений и токов

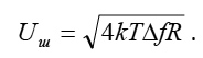
Даже идеальный резистор имеет на выходе шумовой ток, истинное среднеквадратическое значение (RMS) которого равно:

где k=1,38•10-23 Дж/К – постоянная Больцмана, T – абсолютная температура (в градусах Кельвина) и Δf – полоса частот (в Гц).

На зажимах резистора действует также шумовая ЭДС

Существует ряд методов для измерения сопротивления и проводимости. Простейшими являются методы основанные на измерении тока, протекающего через резистор, подключенный и источнику ЭДС – рис. 3. и методом измерения напряжения на резисторе, падающего от протекающего через нетто тока – рис. 4. Оба этих метода относятся к двухточечным схемам измерения.


Рис. 3. Измерение сопротивления по току, протекающего через резистор


Рис. 4. Измерение сопротивления по напряжению, падающего на нем от протекающего через резистор заданного тока

Первый метод наиболее удобен при измерении проводимости G=1/R=I/V. Разумеется, измеряя обратную величину (что в цифровых приборах не проблема) можно измерять и сопротивление. Второй метод дает R=V/I, где V – показания вольтметра. Ввиду очень широкого диапазона измерения напряжений и токов современными цифровыми приборами оба простейших метода можно считать практически равноценными. Оба метода дают легко оцениваемую погрешность в случае неидеальности источников напряжения или тока и измерителей напряжения и тока.

Нередко, особенно в производственных условиях микроэлектронного производства, измерения приходится проводить при значительном удалении измеряемого объекта от источников энергии и измерителей. В этом случае, особенно при измерении малых сопротивлений (порядка десятков Ом и менее) особенно значительную погрешность могут вводить длинные провода и провода пробников. Это поясняет рис. 5, на котором показано измерение сопротивления резистора Rs при учете сопротивлений подводящих проводов Rlead.


Рис. 5. Двухточечная схема измерения, учитывающая сопротивлении проводящих проводов

Из рис. 5 нетрудно сделать вывод, что ток тестирования I от источника тока омметра (или мультиметра) проходит как через измеряемое сопротивление RS, как и через сопротивления подводящих проводов. Поэтому измеряемое вольтметров VM напряжение будет равно VR+2RLEAD. В результате вместо значения RS будет показывать значение RS+2RLEAD. Эта погрешность особенно существенна в приборах для измерения малых сопротивлений – миллиометров и микроомметров. Эти приборы часто применяются для измерения сопротивления печатных и напыляемых проводников в интегральных схемах, а также для измерения сопротивления заземления различных промышленных объектов и измерительных приборов.

Наиболее эффективно устранение этого недостатка достигается при переходе от двухточечной схемы измерения к четырехточечной схеме, показанной на рис. 6. В этой схеме измеряется напряжение прямо на тестируемом резисторе, а через подводящие провода вольтметра течет ничтожно малый ток, так как вольтметр легко сделать высокоомным. Поэтому погрешность измерений из-за влияния подводящих проводов может быть ничтожно малой.


Рис. 6. Четырехточечная схема для измерения малых сопротивлений

Пример реализации четырехточечной схемы на приборах фирмы Keithley показан на рис. 7. Реализованная в этом примере схема измерений отличается возможностью измерения тестируемого тока с помощью высокоточного измерителя тока и обеспечивает высокую точность измерения сопротивлений в широком диапазоне их номиналов.


Рис. 7. Конфигурация приборов фирмы Keithley для реализации четырехточечной схемы измерения сопротивления

Нелинейные резисторы и полупроводниковые приборы могут иметь ВАХ с падающими участками отрицательного сопротивления Rо(I)=dU/dI<0 или отрицательной проводимости Go(U)=dI/dU<0. На этих участках при наличии паразитных реактивностей возможна генерация синусоидальных или релаксационных колебаний. Есть целый ряд приборов с такими ВАХ – однопереходные и лавинные транзисторы, S-диоды, динисторы и тиристоры, лямбда-транзисторы и др. [6-11]. Есть и приборы, у которых имеет место дифференциальное отрицательное сопротивление или проводимость, которые проявляются в определенном диапазоне частот – например, лавинно-пролетные диоды, диоды Ганна и др. Такое разнообразие характеристик заметно осложняет измерение ВАХ нелинейных приборов, относящихся к классу активных приборов. В том числе и нелинейных резисторов.

Источник
А. А. Афонский, В. П. Дьяконов, Электронные измерения в нанотехнологиях и в микроэлектронике
Под ред. проф. В. П. Дьяконова, Москва, ДМК пресс, 2011


Возврат к списку


Материалы по теме:

Поделиться:
Читайте бесплатно
№ 4 Декабрь 2021
КИПиС 2021 № 4
Тема номера:
Современная измерительная техника
События из истории измерений
18.09.1819
Родился французский физик, создатель гироскопа и маятника
Жан Фуко
18.09.1907
Родился американский физик, лауреат Нобелевской премии
Эдвин Макмиллан
Конвертер единиц измерения
Мы используем файлы 'cookie', чтобы обеспечить максимальное удобство пользователям.